摘要:针对压制干扰与目标回波相关性弱、匹配滤波增益低以及干扰信号容易被抑制的问题,本文提出了一种多域协同的双通道自适应灵巧干扰算法。对采样得到的雷达波形进行噪声调制、延时调制和多普勒频率调制,产生干扰信号,利用加权求和得到双通道干扰信号。在时域方面,双通道干扰信号前后重叠,掩盖目标信号;在频域方面,信号产生虚假的带宽,以覆盖目标带宽;在能量域方面,信号的干扰功率比目标功率更高,并且能够在线调整双通道干扰加权系数,保证干扰信号在时域、频域和能量域协同压制目标信号。使用蒙特卡罗仿真验证了多域协同的双通道自适应灵巧干扰算法的正确性和有效性。
摘要:机载电子设备是安装在飞机上的各种电子系统的总称。在飞行过程中,受发动机和气动载荷等振源的影响,设备处于复杂的振动环境中。有效的振动优化能够提高系统的可靠性和性能。目前,大多数优化方法是通过有限元分析(Finite Element Analysis,FEA)来模拟设备的振动特性,识别关键优化区域。采用结构加固、阻尼增强和隔离技术等多种策略,减轻振动带来的影响。本文在该优化方法的基础上,在关键位置实现了基于遗传算法(Genetic Algorithm,GA)的自动选代优化,通过模拟和振动试验验证,将其与人工参数调整进行对比。试验结果表明,采用本文方法可提升设备抗振优化设计的效率。
摘要:针对强噪声背景下的弱故障信号自适应检测问题,本文设计了一种基于磷虾群算法(KrillHerd Algorithm,KHA)的自适应随机共振故障检测方法。研究随机共振检测原理以及随机共振与系统参数之间的关系,将磷虾群算法和随机共振相结合,设计并完成自适应随机共振。以MATLAB为仿真平台,采用本文设计的自适应随机共振方法进行系统最佳参数的自适应搜索,对微弱信号进行检测。仿真结果表明,本文方法能够高效搜索到最优参数,进而对微弱故障信号进行检测。
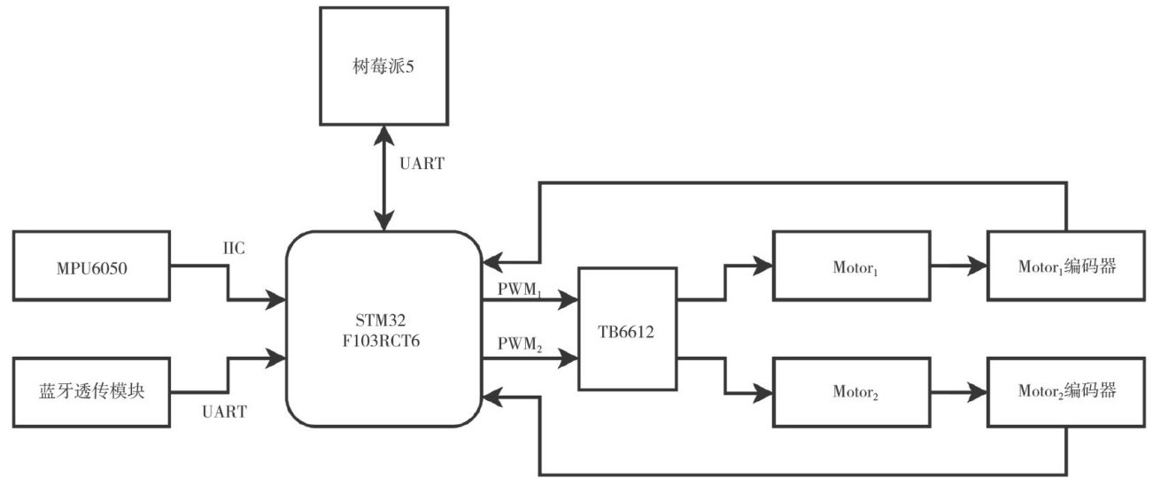
摘要:针对四轮车灵活性不足和体积庞大的问题,本文设计了一种基于传统比例-积分-微分(Proportional-Integral-Derivative)控制的双轮平衡车。传统PID控制在平衡能力和参数整定方面具有局限性,因此,本文引入基于径向基函数(Radial Basis Function,RBF)的神经网络算法,对PID参数进行灵活整定。将硬件电路设计分为通信控制和电源2个部分,并设计在非阻塞模式下的三环PID控制软件架构。构建RBF神经网络,得到以其为参数整定策略的PID双轮平衡车,将传统的线性PID控制转变为非线性的RBF神经网络PID控制。试验结果表明,与传统PID控制相比,以角度波动的均方误差降低值作为量化指标,平衡稳定性提高了 89.19% 0
摘要:受到光伏出力随机性和负荷波动不确定性影响,光伏并网调度效果不佳。为了解决该问题,本文提出了考虑不确定性的光伏并网优化调度模型研究方法。采用三角形隶属度函数表示光伏并网的不确定性,计算风、光和负荷的日前预测出力,设计考虑不确定性的多目标优化调度流程。采用大中取大(Maximumof Maximums,Maximax)准则约束规划建模,构建光伏并网优化调度模型,采用萤火虫算法进行计算,完成光伏并网优化调度。试验结果表明,采用该方法,电压波动范围为 -20%~20% ,功率保持不变,对应的数值为0,与试验指标一致,能够保障并网后电网稳定运行,消纳光伏能源效率更高。
摘要:本文提出了一种基于多传感器卷积神经网络(CNN)的液压系统实时故障诊断方法,以提升故障检测的效率和准确性。利用多传感器数据构建故障诊断数据集,并对其进行预处理、增强,以保证模型的鲁棒性。将设计的CNN模型结合多传感器输入,使用三分类全连接层对液压系统的故障、轻微故障和正常状态进行分类。采用迁移学习优化模型性能,从多源数据中提取关键特征。基于该模型开发故障检测可视化界面和实时应用程序,辅助工程师监控、诊断液压系统。试验结果表明,本文方法具有良好的泛化能力和较高的诊断准确率,有助于及时发现故障并提高系统的运行稳定性。
摘要:燃煤机组超低排放改造后,在烟温下降和氨逃逸双重作用、设备老化以及工况变化等不利因素影响下,静电除尘器阴极线裹灰,尤其是硫酸氢铵粉尘粘附难以清除,导致出现电除尘器放电性能和稳定性下降等问题,本文研究了纳米涂层在阴极线上的应用,并结合模拟试验和工业应用经验,发现其能够有效提升阴极线表面灰的流动性,减少硫酸氢铵粉尘颗粒粘附,降低阴极线锈蚀,并提高二次电流、二次电压值。
摘要:本文在自主水下航行器(Autonomous UnderwaterVehicle,AUV)运动控制获取的硫化氢数据基础上,利用硫化氢浓度与AUV运动控制的时间和空间依赖关系,将离散的硫化氢数据线性拟合,构建硫化氢浓度的数字化模型。进而根据模型的规律融合、预测邻近区域的硫化氢浓度数据,目标是形成AUV运动路线的多条带硫化氢浓度数据库。
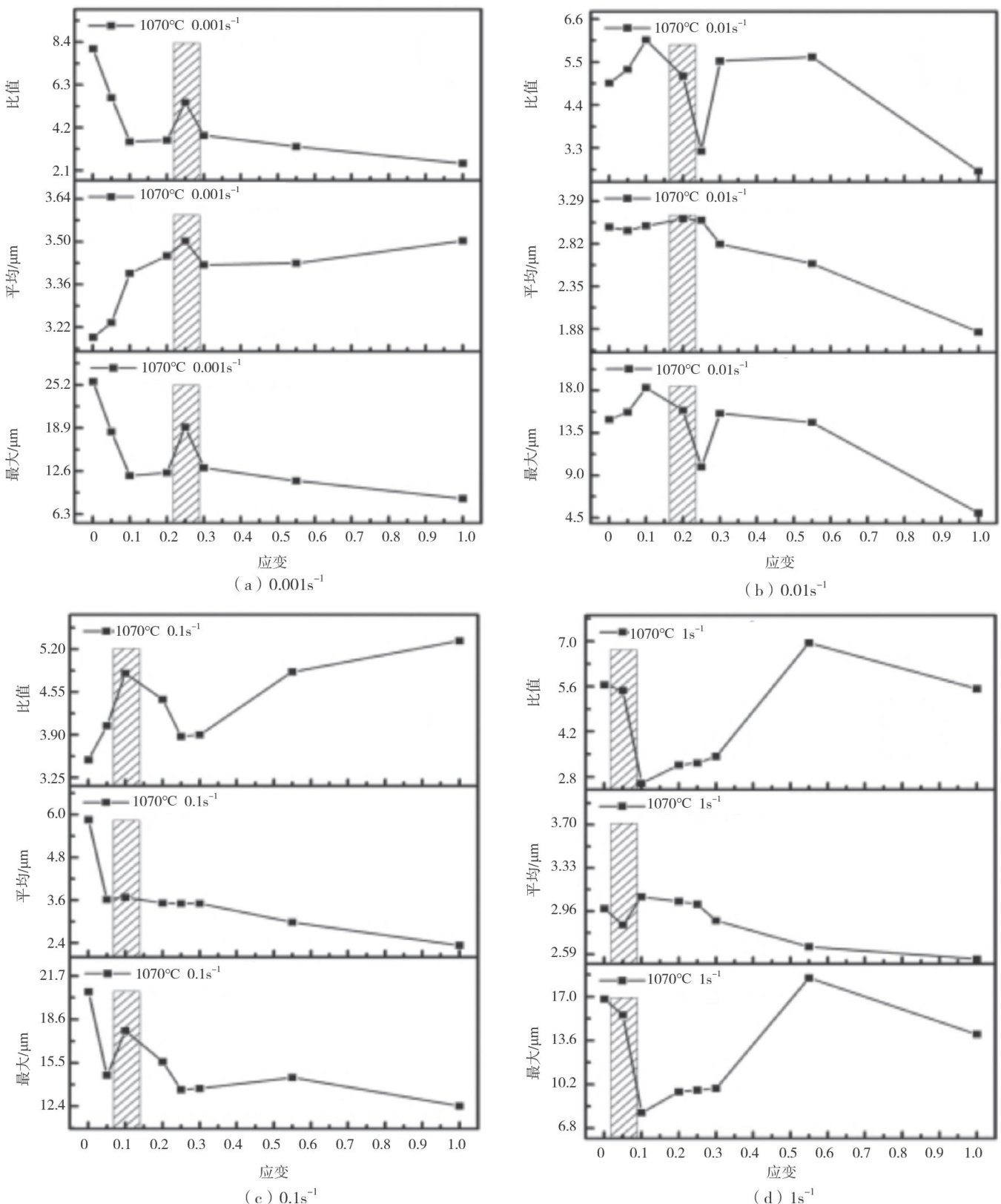
摘要:本文运用Thermecmastor-Z热加工模拟试验机在真空等温绝热环境下对镍基粉末高温合金进行应变梯度形变试验,结合扫描电子显微技术和电子背散射衍射技术,发现在不同的塑性形变工艺参数 ( 1000°C~1100°C ,0.001s-1~1s-1 , ε=0.0002~1.4 )下,变形速率决定了晶粒异常长大所需的变形量,变形温度决定了晶粒异常长大的严重程度。基于晶粒异常长大前、后的微观组织特征参数发现,晶粒异常长大以前,微观组织中的最大晶粒尺寸与平均晶粒尺寸的比值均为5左右,微观组织具有较低的局部取向差。
摘要:当利用无人机航拍图像对绝缘子掉串情况进行识别时,普通卷积输出的特征图无法覆盖不同层特征信息,导致识别结果有效性偏低,因此本文进行基于改进YOLOv7的无人机航拍绝缘子掉串在线识别研究。利用YOLOv7卷积输出无人机航拍绝缘子图像的特征后,引入Ghost模块对输出的特征图进行线性变换,弥补卷积操作引起的丢失特征,生成覆盖不同层特征信息的新特征图。在SimAM注意力机制下,对新特征图进行增强处理后,利用任务解耦头计算不同层特征信息的损失,输出存在掉串故障的图像。测试结果表明,本文设计方法在测试集上识别结果的 mAP 稳定在0.95以上, P-R 曲线覆盖范围也显著高于对照组,可以对无人机航拍绝缘子掉串进行有效识别。
摘要:针对卷烟卷接机设备维护依赖定期计划、缺乏精细化数据支撑的问题,本文提出并构建了一种复合健康度评价系统。通过采集设备运行状态、物料消耗、质量工艺等数据,结合振动、温度等关键参数,采用层次分析法构建评价模型,通过特征向量法与算术平均法计算权重并取均值作为综合权重,确保模型权重可用性。通过分布式数据采集、实时监测及动态分析,实现设备健康评分、故障预警。试验结果表明,本系统通过数据驱动的综合评价模型,提高了设备管理效率,减少非计划停机,降低维护成本,对卷烟企业实现数字化、智能化运维具有实践价值。
摘要:本文提出了一种基于双端行波原理的高压电缆故障在线测距技术,旨在提高故障定位的速度和精度。以长春市某66kV高压电缆线路为案例,设计了一个实时监测系统,通过在电缆两端安装高频行波传感器,结合差分时延算法和小波变换技术,实现快速、准确的故障定位功能。试验结果表明,系统能够在 1min~3min 定位故障,定位误差控制在 ±50m ,比传统时间域反射法(TimeDomainReflectometry,TDR)的定位误差( 200m~300m )低。在低温环境下,系统依然稳定运行,尤其在电缆接头等高风险区域,定位精度可达到 ±20m 该技术有效缩短了停电时间,提高了电网的运维效率和可靠性,为高压电缆故障定位提供了高效、精确的解决方案。
摘要:物流无人机远程调度依赖高效的通信技术,以确保任务执行的精准性、实时性和协同能力。5G通信技术凭借超低时延、大带宽、海量连接等特性,为无人机远程调度提供高效通信支持,使无人机能够在低空空域执行高精度任务。本文围绕5G通信技术在物流无人机远程调度中的应用展开研究,构建基于5G网络的无人机调度体系,优化网络覆盖规划、空域管理、任务分配、数据同步、远程监控等核心技术环节。试验结果表明,5G通信技术在多方面具有明显优势,可以为无人机远程调度提供更高效的解决方案。
摘要:本文设计了感知一决策一执行一反馈4层结构,构建面向岸桥起升与电动平车的控制子系统,分别嵌入PSO优化PID和LSTM预测前馈模块。基于Simulink仿真平台,完成多指标对比测试。结果显示,PSO优化策略显著降低了超调与稳态误差,LSTM结构有效削弱了响应延迟与扰动影响。2类算法在保持系统实时性的前提下实现了控制精度与能效双重优化,能够为港口自动化控制提供可移植的算法嵌入范式。
摘要:本研究旨在设计并实现一种基于大语言模型(Large Language Model,LLM)的用户心智交互模型,以提升人机交互的自然性和个性化程度。通过综合运用深度学习、自然语言处理和用户心智模型理论,本文构建了一个能够识别并理解用户意图和情感的交互系统。试验采用对比分析法,验证了该模型在提升交互效率和用户满意度方面的显著效果。研究结果表明,LLM和用户心智模型相结合的交互方式能够更准确地捕捉用户需求,更流畅和个性化地进行交互体验。因此,本研究为AI系统的智能化和人机交互的进一步发展提供了新的思路和方法。
摘要:本文围绕云计算支持下的海洋石油数据分析与智能化决策系统进行研究。首先,构建了智能分析模型,运用并行计算加速算法,利用参数自适应动态调优提升算法性能。其次,在系统架构选型后,实现了机器学习驱动的决策模型训练更新、多元决策信息融合分发等核心功能。并采用实际工况模拟进行系统验证。结果表明,该系统能够有效提升海洋石油业务效率,推动海洋石油行业智能化决策进程。
摘要:为提高城市道路拥堵预测的准确性,该研究提出一种基于长短时记忆网络(LSTM)的时空融合预测模型。结合多源交通数据的时空关联性,实现动态拥堵趋势预测。该研究整合了浮动车GPS、地磁检测器、摄像头视频等实时交通流参数,通过时空对齐、矩阵补全等技术,构建了一种时空耦合LSTM模型(ST-LSTM)。试验结果显示,该模型在北京四环区域的128个关键节点上测试,预测误差控制在 8.2% 内,比传统Transformer模型的预测精度提高了 4.4% 。该研究为交通管理部门提供了精确拥堵预警能力,对提高城市道路运行效率具有一定的帮助。
摘要:警务云平台作为公安大数据战略的重要载体,承担数据汇聚、处理、分析和应用的重要职能。当前,我国正处于社会转型发展的关键期,社会治安形势复杂多变,传统警务模式面临许多挑战。本文通过构建基于云计算的分布式架构,有效解决传统系统在数据处理能力、系统扩展性和资源利用效率等方面的不足。“专业 + 机制+ 大数据”新型警务运行模式标志公安工作正在向数字化、智能化方向深度转型。
摘要:随着大数据发展,算法推荐和个性化传播已经成为趋势,结合实际来看,算法推荐与个性化传播形成信息茧房,存在信息闭塞、不良信息推送以及内容质量优劣明显等问题。因此,本文结合算法推荐以及与个性化传播相关的算法,包括协同过滤算法、相似度计算、准确性指标以及拉普拉斯加噪机制,通过算法研究,深入分析信息茧房的形成机制,并进行模拟分析,研究个性化推荐的效果,进而判断信息茧房的情况。本文通过算法分析、模型建立以及个性化推荐评估指标,判断个性化推荐效果,发现信息茧房对用户影响很大,在此基础上对其进行利弊分析,在未来发展上,需要理智看待信息茧房,合理利用信息资源。
摘要:电源屏中的铁磁变频器和铁磁谐振式交流稳压器利用铁磁谐振形成磁饱和并进行工作,是一种复杂的非线性共振系统。本文基于铁磁谐振原理建立了电容和电感并联的铁磁谐振系统,利用matcont仿真工具分析了铁磁谐振的影响因素。仿真结果表明,铁芯的非线性励磁特性是影响系统铁磁谐振的重要因素,当系统正常时,相平面是椭圆,对研制更有效的消谐振措施具有深远意义。
摘要:散热器的散热效率与其结构紧密相关。通过模拟分析可以找到散热器管型中最有利于热量传递的部分,进而优化散热器的设计,提高其散热效率,这对提高设备的可靠性和延长使用寿命具有重要意义。因此,本文提出散热器“O”形管、“B”形管、沙漏管力学性能模拟与应力监测。采用计算机建模与模拟分析,结合公式计算管道位移与变形,模拟散热器“O”形管、“B”形管、沙漏管力学性能。根据“O”形管、“B”形管、沙漏管的结构特点,在关键位置合理地布置应力监测点。利用弦振动应变传感器监测散热器管道应力,结合频率-应变关系模型计算应变数值,通过构建分布式无线监测网络实现应力监测。试验结果表明,所提方法可以精确识别应力的大小及位置,在散热器“O”形管、“B”形管、沙漏管的应力监测应用中具有实际可行性。
摘要:MCV是研究半导体器件物理的重要设备,目前该设备完全依赖进口。本文用无毒的液态金属(简称液金)探针代替国外设备中的汞探针,采用聚四氟乙烯毛细管,使液金在毛细管内良好流动,解决液金易在毛细管壁上粘附的问题。此外,利用碳化钨(WC)做电极引线,有效防止了引线因浸入液金而被腐蚀。采用自行开发的气路系统和软件精确控制液金柱在探头内的升降运动及压力,形成完整的LMCV测试系统,实现国产化,替代进口设备。大幅降低MCV测试仪的制造成本和对使用环境的特殊要求。使国内企业和高校有条件使用该设备对半导体器件工艺进行广泛、深入的研究。
摘要:本文针对煤矿掘进作业对高效协同与能耗控制的双重要求,构建了面向多目标的机电系统优化与作业调度策略。遗传算法用于调节掘进机输出功率、物料输送速度与支护装置压力参数,全局优化目标函数基于适应度演化机制实现参数集选代更新。作业时序由动态规划模型解析设备作业状态转移路径,构建多阶段调度过程,缩短设备待机时间。试验分析显示,掘进效率提高 15.6% ,单位能耗下降 22.4% ,故障率降幅达到 50.0% ,研究可以为井下掘进高效运行提供理论依据。
摘要:针对济宁三号煤矿传统粗煤泥分选设备普遍存在的精煤回收率低、设备稳定性差及自动化程度不足等问题,本文基于流体动力学理论与智能控制技术,设计了新型智能化分选系统,通过计算流体力学数值模拟与现场试验,系统分析了分选密度场分布特性与给料浓度动态调控机制及智能干扰器的作用机理,试验数据表明,改造后系统分选效率提高 8.8% ,能耗降至2.4kWh/t,设备故障率降至 0.8% ,该系统实现了粗煤泥分选过程的连续稳定运行与智能化无人值守,为煤炭洗选技术升级提供了创新解决方案。
摘要:为研究边坡体与新建桥梁之间的相互影响,本文依托某桥梁建设项目,采用资料收集、变形监测等方法,对既有边坡体的稳定性进行判定,并采用数值模拟及全过程监测等技术,对新建桥梁实施后导致既有边坡产生的附加变形进行分析,以此判定新建桥梁实施后对既有边坡的影响。结果表明,既有边坡体在前期治理后,经过近十年监测,边坡无明显变形,整体稳定,新建桥梁基础采用嵌岩桩,桥梁实施后对既有边坡产生的附加变形有限,同时边坡产生的附加变形也在桥梁允许范围内,新建桥梁实施后与既有边坡之间的相互影响较小。
摘要:本文以运河干渠为研究对象,进行钢模支架结构设计,提出基于元胞模型的优化方法,对运河干渠钢模支架进行结构优化。优化算法中考虑了钢模支架的结构稳定性,利用元胞群的协同运动特性实现桁架拓扑结构的自组织优化。在试验中,给出了钢模支架的局部结构设计效果,验证了优化方法的有效性以及所设计流程对施工效率的提升效果。
摘要:针对冀北地区复杂环境对高强度无收缩灌浆材料的适应性需求,本研究系统分析了材料配方、关键施工工艺及工程应用效果。通过优化水胶比、掺合料体系及膨胀剂配比,提高了材料的力学性能与体积稳定性。优化后材料在抗压强度、界面结合力及耐久性方面均显著优于传统灌浆材料,并在现场应用中展现出优异的施工适应性和长期稳定性。
摘要:本研究系统论证了弯沉检测在公路路基质量检测中的关键技术应用。通过建立土质颗粒分布均匀性评价体系,深入解析了材料微观结构与宏观性能的关联机制。研究完整梳理了弯沉检测的核心技术参数体系和工作边界条件,构建了基于土体力学响应的特征检测模型。对比试验验证表明,弯沉检测在保证与刚度仪同等检测精度的前提下,显著提高了现场操作的便捷性,充分展现了弯沉检测在公路路基质量全过程控制中的实用价值。
摘要:本文以山东省某公路边坡的稳定性为研究对象,对边坡的基岩及基岩裂隙产状进行现场调查和赤平投影图分析,评估了边坡的稳定性和可能的破坏情况,并通过高密度电法物探分析了边坡内部风险点,研究结果表明,边坡岩体中存在潜在危险,高级边坡开挖时,低级边坡已经受到了一定的变形影响,这种影响可能累加到新的开挖过程中,导致更大的竖向位移,因此建议强风化基岩按1:1放坡开挖,中等风化基岩按 ?1:0.75 放坡开挖,并设置边坡平台和排水设施。
摘要:本文通过测试4个不同地区土壤样品的极化曲线、氧化还原电位、易溶盐含量等,评估了不同地区土壤样品的腐蚀性。同时研究了易溶盐含量中个别离子与土壤样品极化电流密度、氧化还原电位之间的相关性。结果表明,西藏自治区的土壤腐蚀性最强,其次为陕北、关中,最后是陕南。Pearson相关系数可以更好反应易溶盐含量与土壤腐蚀性之间的关系,其中, Cl- / SO42- , Ca2+ / Na+ K+ 和 Mg2+ 等离子是导致土壤具有腐蚀性的主要原因,揭示了土壤对钢结构腐蚀性的机理。
摘要:随着智能化建筑对系统协同需求的提高,传统通信与机电系统独立运行模式已难以满足高效管理需求。因此,本文针对智能化建筑通信与机电一体化系统深度集成与协同控制问题,构建分层分布式架构,并提出能效-安全双目标优化模型、设计实时控制策略以及容错机制。研究结果表明,该集成设计实现了系统各层级的高效协同,端到端通信试验验证了通信性能的可靠性,多场景鲁棒性测试证明系统具备良好的复杂工况适应性,其为智能化建筑集成系统设计提供了可落地的技术方案与理论支撑。
摘要:自平衡静载试验法是利用荷载箱调动上段桩桩侧土向下和下段桩桩侧土、桩端土向上的阻力,两个方向的力相平衡来维持加载,直至破坏。本文以某实际工程为研究背景,采用单根冲击成孔灌注桩作为试验桩进行研究,通过静载试验的检测结果绘制 Q-s 曲线、等效 曲线、 s-lgt 以及 σS-logQ 曲线,分别计算试验桩上段桩及下段桩的极限承载力,得出单桩竖向抗压极限承载力。试验结果表明,实际单桩竖向抗压承载力特征值满足设计单桩承载力特征值的要求。
摘要:本研究旨在探讨不同水泥基灌浆材料外加剂掺量对半柔性路面工程性能和低温抗裂性能的影响。利用和易性、体积稳定性测试与低温抗裂试验,系统分析了不同外加剂掺量水泥基灌浆材料力学性能的变化规律。结果表明,水泥基灌浆材料外加剂掺量的变化对其体积稳定性、抗裂性能和工程和易性都具有重要影响。结合工程实践,超早强水泥基灌浆材料半柔性路面最佳外加剂配比如下:乳化沥青掺量 6% 、粉煤灰微珠掺量 10% ;超早强水泥基灌浆材料抗裂性能随养护时间的增加而增强。
摘要:为研究市政管道下穿城市道路带来的不利影响及其控制措施,本文以某市政管道顶管为例,先对顶管顶进力进行了分析,然后结合数值模拟及现场实测结果,分析了现状道路产生沉降的原因、变形范围及相关的控制措施。结果表明,采用全过程监测,优选顶管机型及刀具等参数,可有效减少顶管施工对周边地层的扰动。研究区的顶管最大覆土约为 5m ,顶管管节上方的竖向位移量最大,为 0.83mm ,地层产生的竖向位移扰动区主要分布在管节周边3倍管径范围内,远离顶管管节后,地表位移逐渐变小,市政顶管工程基本不会影响既有城市道路的运营,研究成果对顶管工程的施工及城市道路的安全运营均有重要价值。
摘要:在全球气候变化与水资源需求激增的双重压力下,水利工程的生态友好型运行模式成为流域管理的重要研究方向。本文以西南某梯级水库为对象,构建了生态保护与工程效益协同优化的可持续运行体系。利用改进粒子群算法(Particle Swarm Optimization,PSO)进行多目标动态调度,设定生态流量、发电稳定性与防洪安全的三重约束条件,并基于2015—2022年水文数据进行分析。结果表明,该模式利用右偏分布的放水量调控策略平衡了生态保护与工程需求,为高异质性流域的水利调度提供了可复制的技术路径。
摘要:为了考察不同材质金属膜抗高温硫化性能,本文研究了不锈钢316L、310S、GH22、 Fe3Al 、FeCrAl在高温硫化氢气氛( 350°C ,介质为 1.5%H2S+90%CO2+8.5%Ar )中的硫化性能以及材料孔结构的稳定性,采用拉伸试验机测量材料的抗拉强度的变化,并利用扫描电镜观察表面形貌,从而评价耐蚀性能。结果表明,经过150h试验后,金属膜的腐蚀速率为316L >310S>GH22>FeCrAl>Fe3Al ,由于材料的成分不同,因此硫化腐蚀后材料腐蚀产物的组分不同,耐硫化腐蚀程度也不同。
摘要:海洋水文气象信息在线监测准确率低,导致海洋水文气象信息在线监测工作难度大。因此,本文提出基于物联网技术的海洋水文气象信息在线监测方法研究。通过收集海面模拟数据和广播信号站数据,运用插值方法构建完整的海洋水文气象信息数据集;采用残差网络结构学习数据库内容。利用海流计、温盐传感器等工具实现监测。试验结果表明,基于物联网技术的海洋水文气象信息在线监测方法针对不同海洋水文气象信息的预测结果准确率均在 94% 以上,当发生异常气象时,能够对异常气象信息进行准时预警,同时传播预警信息的时间均在50s以内。
摘要:由于工程施工质量的影响因素众多,施工质量管理难把控。因此,本文以某电力通道施工工程为例,构建了包括人员质量、机械设备、施工材料、施工方法和施工环境这5个维度的评价指标体系。利用层次分析法确定了各一级指标和二级指标的权重,进一步利用模糊综合评价法获得了各一级指标和二级指标的隶属度,最终对该电力通道施工质量管理进行了综合评价。结果表明,一级指标的权重排序为人员质量 > 施工方法 > 机械设备>施工材料 > 施工环境,该项目总体施工质量评价为较好水平。本文的研究内容和结果可为类似工程提供借鉴。
摘要:本文聚焦基于区块链技术的科技成果转化平台构建与应用展开探讨,深入剖析区块链技术原理及驱动科技成果转化的内在逻辑。在此基础上,搭建区块链科技成果转化平台,该平台具备分层式技术架构。并从跨链协同交互、动态安全防护、系统负载均衡等方面对平台性能进行优化。实践表明,该平台在专利交易、产学研协同、科技金融等场景中,显著提高了科技成果转化效率,拓宽了融资渠道,有力推动科技成果转化体系的完善与发展。
摘要:PEM电解制氢测试系统氢泄漏时仅依赖氢气浓度作为监测指标,当泄漏量较小时,氢气浓度变化不明显,导致系统预警效率低。因此,本文研究基于多参量融合的PEM电解制氢测试系统氢泄漏监测预警方法。建立PEM电解制氢测试系统模型,根据模型结构采集数据,对氢气浓度、温度、压力、流量、氧气浓度和湿度等参数进行综合分析,以评估系统运行状态。实时监测参量变化,一旦检测到异常情况,立即发出预警信号,并根据氢气浓度的不同级别采取相应的安全管控措施,以抑制氢气泄漏风险并确保安全。试验结果显示,采用基于多参量融合的PEM电解制氢测试系统氢泄漏监测预警方法能够精确捕捉微小的浓度波动并及时发出预警信号,具有更高的准确性和可靠性。
摘要:麻醉机作为现代手术室中的关键设备,其气流通道设计直接影响麻醉气体的输送效率和患者的安全。本文分析了麻醉机现有气流通道的组成、功能及存在的主要问题,基于流体力学原理建立仿真模型,通过优化算法改进气流通道结构,减少流动阻力,提高输送效率。同时,结合力学性能分析与材料选择研究,探讨优化设计对气流稳定性的影响,为医疗设备设计提供技术参考。
摘要:现代智能建筑通常占地面积较大,周界形态复杂,天气变化、植被生长和小动物活动等均会干扰入侵检测,导致周界入侵检测精度降低,因此本文提出视频监控支持下的智能建筑周界入侵防范技术研究。采用基于改进单高斯模型的方法提取视频监控支持下目标图像特征点;采用二值化处理技术提取视频监控提取,实现对目标与背景分割;采用对称差分法提取图像背景,识别检测建筑周界入侵行为,并进行预警防范响应,进行视频监控支持下智能建筑周界入侵防范。实际应用表明,本文设计技术能够精准识别建筑周界入侵行为,并进行正确的预警防范响应,具有良好的技术应用效果。
摘要:在集群网络下,电力二次调度系统面临复杂的安全威胁,传统策略难以保证防护效果,因此本文研究了集群网络下电力二次调度系统安全防护策略。引入模糊数学评估电力二次调度系统用户行为信任。根据用户行为信任评估结果,动态控制集群网络下电力二次调度系统用户的访问权限,以进行系统安全防护。试验结果表明,本文设计策略能够有效提升集群网络下电力二次调度系统的安全防护能力,保证系统稳定运行。
摘要:针对当前地铁安检中单模态图像识别技术面临的复杂场景适应性不足问题,本文创新性地构建了基于多模态图像融合的智能检测框架。该方案通过整合颜色模态信息、纹理模态的空间分布特性以及形状模态的几何描述子,形成互补协同的多维度特征表征体系。试验结果表明,这种融合多模态的识别策略能够突破传统方法的感知局限,在保持实时性的同时大幅提高对隐匿危险物品的检测灵敏度和分类准确率,为构建新一代智能安检平台提供了创新性技术路径。
摘要:大量使用电力电子设备导致谐波问题日益突出,严重威胁电力安全运行。其中,谐波会降低电能质量。传统谐波抑制技术存在局限性,难以适应电网工况动态变化。因此,本文聚焦谐波抑制技术优化,引入基于模糊控制算法的滤波自适应控制策略,实时监测电网电压、电流和负载变化。试验结果表明,随着谐波次数增加,传统滤波技术的抑制效果提升逐渐趋于平缓,而新型谐波抑制技术保持较高的抑制能力提升幅度。且新型谐波抑制技术的传输效率提升幅度最大,比传统滤波技术高 5% ,比无谐波抑制时高 10% 。